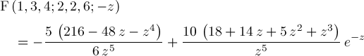
Page 7