HyperF - 3F2 - Z8 Up
 Contents   News   View 

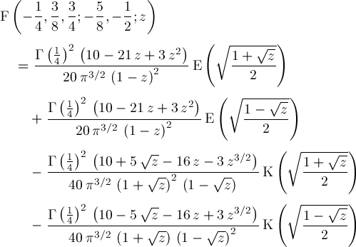
F(m1/8,m2/8,m3/8;n1/8,n2/8;z) Table Previous Next
   
   
   

©2004-2011 Planet Quantum Kelly Roach