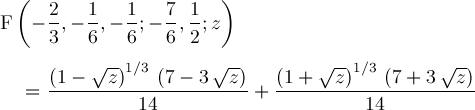
HyperF - 3F2 - Z6 Up
 Contents   News   View 

Page 64 Previous Next


©2004-2011 Planet Quantum Kelly Roach