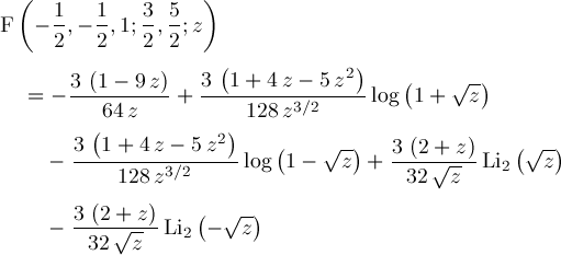
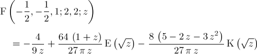
HyperF - 3F2 - Z2 Up
 Contents   News   View 

Page 235 Previous Next


©2004-2011 Planet Quantum Kelly Roach