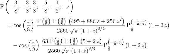
Page 99