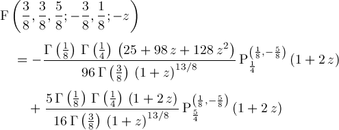
Page 289