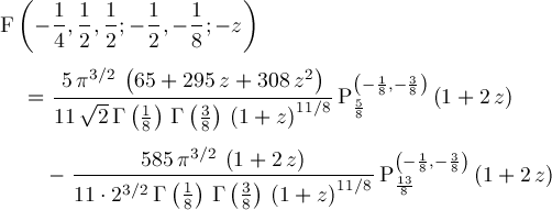
Page 171