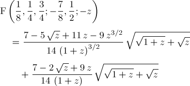
Page 73