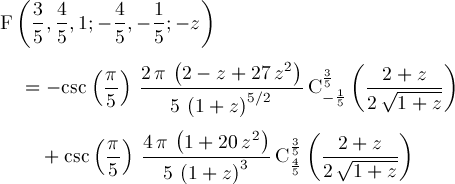
Up
Page 233