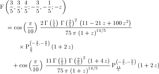
Page 224