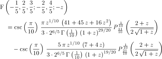
Page 128