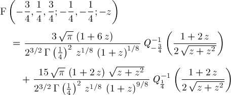
Page 67