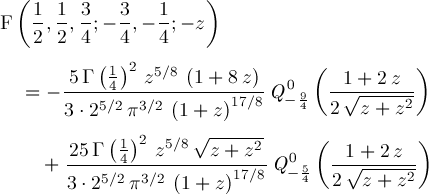
Up
Page 266