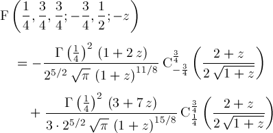
Page 238