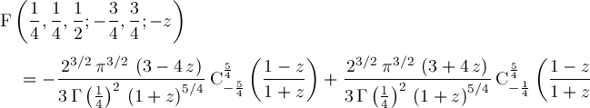
Up
Page 218