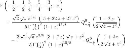
Page 111