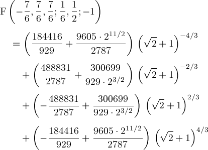
Page 46