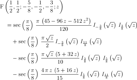
Page 398