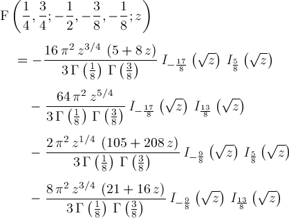
Page 322