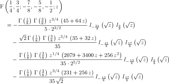
Page 315