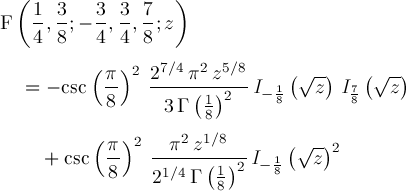
Page 296