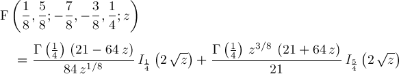
Page 255