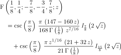
Up
Page 223