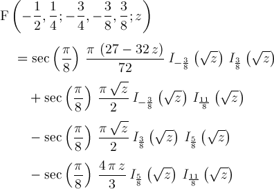
Up
Page 133