Up
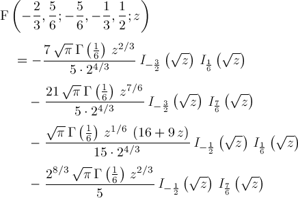
Page 38