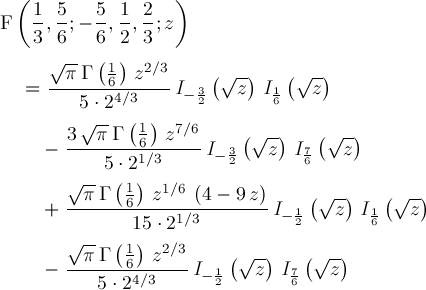
Page 149