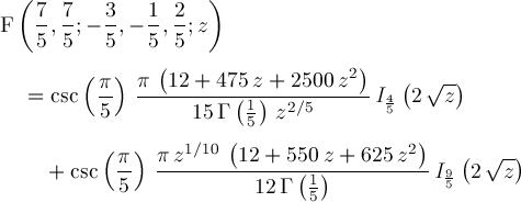
Page 284