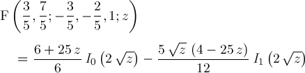
Page 199