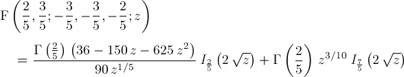
Page 124