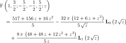
Page 306