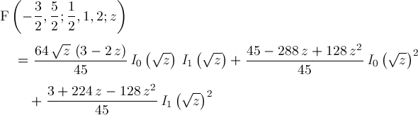
Page 153