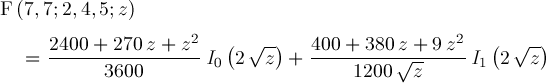
Page 175