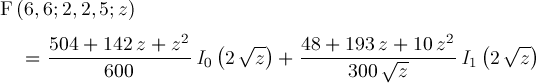
Page 154