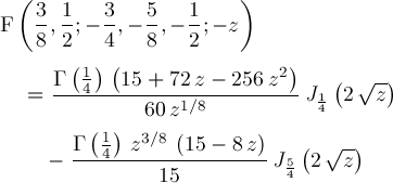
Page 365