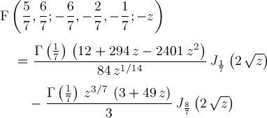
Page 183