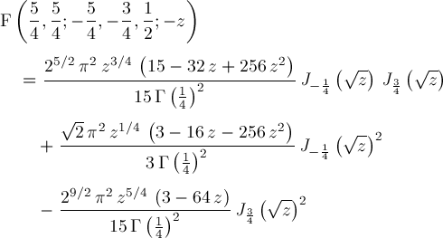
Page 277