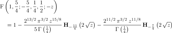
Up
Page 258