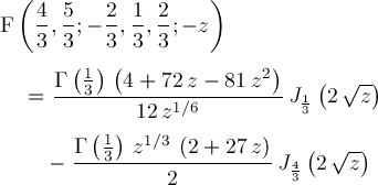
Page 220