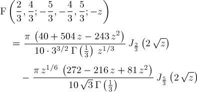
Page 132