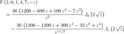
Page 45