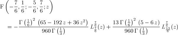
Up
Page 4