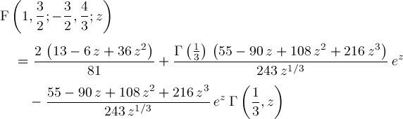
Page 81