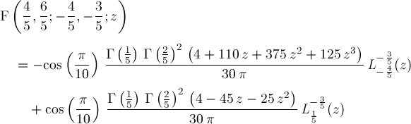
Up
Page 183