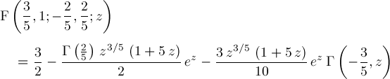
Page 66