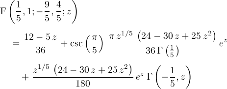
Page 31