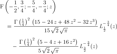
Page 69