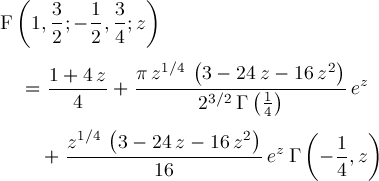
Page 64