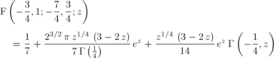
Up
Page 10