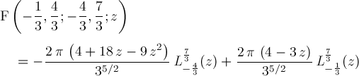
Page 120