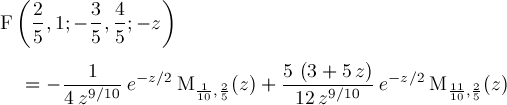
Page 117